skip to main content
Rosenbaum Lab Homepage  /  Research  /  Quantum Coherence and Dynamics

Quantum Coherence and Dynamics

LHYF dipole entanglement

Entangled quantum state of magnetic dipoles

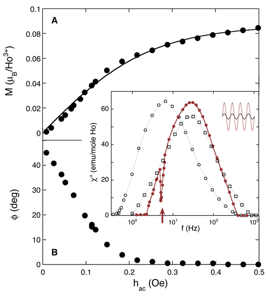
Free magnetic moments usually manifest themselves in Curie laws, where weak external magnetic fields produce magnetiza- tions that vary as the reciprocal of the temperature (1/T). For a variety of materials that do not display static magnetism, includ- ing doped semiconductors and certain rare-earth intermetallics, the 1/T law is replaced by a power law Tα with α < 1. A much simpler material system—the insulating magnetic salt LiHoxY1-xF4—can also display such a power law. Moreover, comparing the results of numerical simulations of this system with susceptibility and specific-heat data shows that both energy-level splitting and quantum entanglement are crucial to describing its behaviour. The second of these quantum mechanical effects—entanglement, where the wavefunction of a system with several degrees of freedom cannot be written as a product of wavefunctions for each degree of freedom—becomes visible for remarkably small tunnelling terms, and is activated well before tunnelling has visible effects on the spectrum. This finding is significant because it shows that entanglement, rather than energy-level redistribution, can underlie the magnetic behaviour of a simple insulating quantum spin system.

More reading
Entangled quantum state of magnetic dipoles

LHYF hole burning

Coherent spin oscillations in a disordered magnet

Most materials freeze when cooled to sufficiently low temperature. By contrast, we found that magnetic dipoles randomly distributed in a solid matrix condense into a spin liquid with spectral properties on cooling that are the diametric opposite of those for conventional glasses. Measurements of the nonlinear magnetic dynamics in the low-temperature liquid reveal the presence of coherent spin oscillations composed of hundreds of spins with lifetimes of up to 10 seconds. These excitations can be labeled by frequency and manipulated by the magnetic fields from a loop of wire and can permit the encoding of information at multiple frequencies simultaneously.

More reading:
Coherent Spin Oscillations in a Disordered Magnet

Fano resonances

Coherence and nonlinear dynamics in disordered magnets

Quantum states cohere and interfere. Atoms arranged imperfectly in a solid rarely display these properties. Here we demonstrate an exception in a disordered quantum magnet that divides itself into nearly isolated subsystems. We probe these coherent spin clusters by driving the system nonlinearly and measuring the resulting hole in the linear spectral response. The Fano shape of the hole encodes the incoherent lifetime as well as coherent mixing of the localized excitations. For the Ising magnet, LiHo0.045Y0.955F4, the quality factor Q for spectral holes can be as high as 100,000. We tune the dynamics by sweeping the Fano mixing parameter q through zero via the ac pump amplitude as well as a dc transverse field. The zero-crossing of q is associated with a dissipationless response at the drive frequency. Identifying localized two-level systems in a dense and disordered magnet advances the search for qubit platforms emerging from strongly-interacting, many-body systems.

More Reading:

Tuning High-Q nonlinear dynamics in a disordered quantum magnet
Quantum dynamics in strongly driven random dipolar magnets
Contribution of spin pairs to the magnetic response in a dilute dipolar ferromagnet
Quantum Projection in an Ising Spin Liquid